7.17.1 [90] <7.7>
Download the CUDA Toolkit and SDK from http://www.nvidia.com/object/cuda_ get.html. Make sure to use the “emurelease” (Emulation Mode) version of the code  (you will not need actual NVIDIA hardware for this assignment). Build the example programs provided in the SDK, and confirm that they run on the emulator.
 Using the “template” SDK sample as a starting point, write a  CUDA program to perform the following vector operations: 
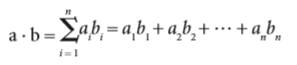
1)  a - b (vector­vector subtraction) 2)    a · b (vector dot product) The dot product of two vectors a = [a1, a2, … , an] and b = [b1, b2, … , bn] is defined as:


Submit code for each program that demonstrates each operation and verifies the  correctness of the results.
 
 
View Solution
 
 
 
<< Back Next >>