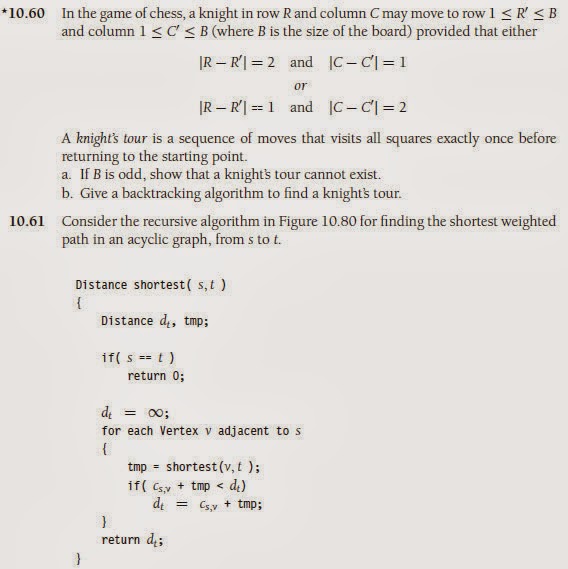
a. Why does this algorithm not work for general graphs? b. Prove" />
a. Why does this algorithm not work for general graphs? b. Prove that this algorithm terminates for acyclic graphs. c. What is the worst-case running time of the algorithm? . - | |
| View Solution | |
| << Back | Next >> |