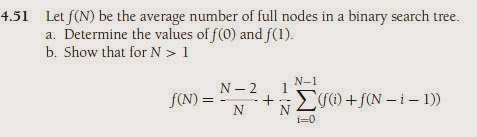
4.51 ![]() IX: {Series |(} {2} IX: {Series!geometric|(} {4} IX: {Euler's constant} {4} IX: {Series!geometric|)} {4} IX: {Series!arithmetic|(} {4} IX: {Series!arithmetic|)} {5} IX: {Series!harmonic|(} {5} IX: {Euler's constant} {5} IX: {Series!harmonic|)} {5} IX: {Series|)} {5} | |
| View Solution | |
| << Back | |