Solupals - Textbook Solutions
Matrix Algebra
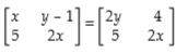
4. Solve the matrix equation:
View solution: $5 USD.
View Solution
<< Back
Next >>