Solupals - Textbook Solutions
Matrix Algebra
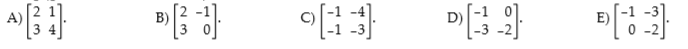
7. Choose the one alternative that best completes the statement or answers the question.
If A = aij where A is 2 × 2 and aij = i - 2j, then matrixA is given by
View solution: $5 USD.
View Solution
<< Back
Next >>