Solupals - Textbook Solutions
Matrix Algebra
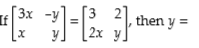
8.
A. 0. B) 2. C) -2. D) 4. E) -4.
View solution: $5 USD.
View Solution
<< Back
Next >>