Solupals - Textbook Solutions
Matrix Algebra
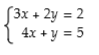
7. Use matrix multiplication to represent the system:
View solution: $5 USD.
View Solution
<< Back
Next >>