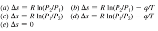
7-222 A unit mass of an ideal gas at temperature T undergoes a reversible isothermal process from pressure P1 to pressure P2 while losing heat to the surroundings at temperature T in the amount of q. If the gas constant of the gas is R, the entropy change of the gas s during this process is | |
| View Solution | |
| << Back | Next >> |